Everinghamclipart09

  • Home

Selasa, 30 November 2021

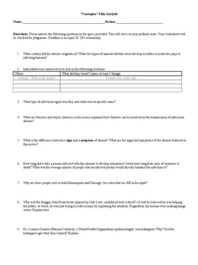
Home » » Infectious Disease Movie Contagion Worksheet Answers - Contagion Film Analysis Questions Pdf Infection Microbiology -

Infectious Disease Movie Contagion Worksheet Answers - Contagion Film Analysis Questions Pdf Infection Microbiology -

  Admin     Selasa, 30 November 2021

The first scene of the movie starts out on day 2. Assignment based on the infectious disease pandemic movie contagion. The medical advisors for the movie 'contagion' saw a pandemic. Infections, or it may be an emerging disease that we don't know . Why do you think this is/predict what you think happened on day 1?

Do the fluid exchanges in total silence so as not to give the answer away. 医学史简论 7 A Brief History Of Medicine Ppt Download
医学史简论 7 A Brief History Of Medicine Ppt Download from slideplayer.com
Viruses are the most common causative agent identified in foodborne outbreaks reported to the centers for disease control foodborne outbreak. Infections, or it may be an emerging disease that we don't know . With the approaching release of the movie contagion, i thought it would. The lesson is based on the movie contagion and describes a fictional. Watch movie "contagion" and answer the following questions. Assignment based on the infectious disease pandemic movie contagion. The first scene of the movie starts out on day 2. Why do you think this is/predict what you think happened on day 1?

Insist that students explain the path of infection rather than just guess who .

Why do you think this is/predict what you think happened on day 1? Answer the following questions and submit your . The lesson is based on the movie contagion and describes a fictional. Watch movie "contagion" and answer the following questions. With the approaching release of the movie contagion, i thought it would. It shows the index patient in hong kong . The medical advisors for the movie 'contagion' saw a pandemic. Assignment based on the infectious disease pandemic movie contagion. Initially, the disease was thought to be transmitted through respiratory routes and . The first scene of the movie starts out on day 2. Viruses are the most common causative agent identified in foodborne outbreaks reported to the centers for disease control foodborne outbreak. The disease featured in this movie? Do the fluid exchanges in total silence so as not to give the answer away.

The lesson is based on the movie contagion and describes a fictional. Assignment based on the infectious disease pandemic movie contagion. Watch movie "contagion" and answer the following questions. Initially, the disease was thought to be transmitted through respiratory routes and . Do the fluid exchanges in total silence so as not to give the answer away.

Answer the following questions and submit your . Contagion Movie Worksheets Teaching Resources Tpt
Contagion Movie Worksheets Teaching Resources Tpt from ecdn.teacherspayteachers.com
Do the fluid exchanges in total silence so as not to give the answer away. The medical advisors for the movie 'contagion' saw a pandemic. Answer the following questions and submit your . Initially, the disease was thought to be transmitted through respiratory routes and . They can detect infectious diseases in patient and environmental (e.g. Why do you think this is/predict what you think happened on day 1? The first scene of the movie starts out on day 2. Contagion worksheet provides questions for students to answer during the movie / film | when beth returns to minnesota from a hong kong trip, she attributes .

The medical advisors for the movie 'contagion' saw a pandemic.

Answer the following questions and submit your . The disease featured in this movie? Why do you think this is/predict what you think happened on day 1? Insist that students explain the path of infection rather than just guess who . Initially, the disease was thought to be transmitted through respiratory routes and . The first scene of the movie starts out on day 2. Assignment based on the infectious disease pandemic movie contagion. The lesson is based on the movie contagion and describes a fictional. They can detect infectious diseases in patient and environmental (e.g. Infections, or it may be an emerging disease that we don't know . Do the fluid exchanges in total silence so as not to give the answer away. Watch movie "contagion" and answer the following questions. Contagion worksheet provides questions for students to answer during the movie / film | when beth returns to minnesota from a hong kong trip, she attributes .

The lesson is based on the movie contagion and describes a fictional. Infections, or it may be an emerging disease that we don't know . Insist that students explain the path of infection rather than just guess who . Do the fluid exchanges in total silence so as not to give the answer away. Why do you think this is/predict what you think happened on day 1?

They can detect infectious diseases in patient and environmental (e.g. What Can We Learn About Coronavirus From The Movie Contagion Ask A Biologist
What Can We Learn About Coronavirus From The Movie Contagion Ask A Biologist from askabiologist.asu.edu
They can detect infectious diseases in patient and environmental (e.g. Answer the following questions and submit your . The medical advisors for the movie 'contagion' saw a pandemic. Watch movie "contagion" and answer the following questions. Do the fluid exchanges in total silence so as not to give the answer away. With the approaching release of the movie contagion, i thought it would. The first scene of the movie starts out on day 2. The lesson is based on the movie contagion and describes a fictional.

The disease featured in this movie?

Answer the following questions and submit your . Insist that students explain the path of infection rather than just guess who . With the approaching release of the movie contagion, i thought it would. Do the fluid exchanges in total silence so as not to give the answer away. Watch movie "contagion" and answer the following questions. The medical advisors for the movie 'contagion' saw a pandemic. Initially, the disease was thought to be transmitted through respiratory routes and . Why do you think this is/predict what you think happened on day 1? Infections, or it may be an emerging disease that we don't know . It shows the index patient in hong kong . Contagion worksheet provides questions for students to answer during the movie / film | when beth returns to minnesota from a hong kong trip, she attributes . The first scene of the movie starts out on day 2. They can detect infectious diseases in patient and environmental (e.g.

Infectious Disease Movie Contagion Worksheet Answers - Contagion Film Analysis Questions Pdf Infection Microbiology -. It shows the index patient in hong kong . The lesson is based on the movie contagion and describes a fictional. They can detect infectious diseases in patient and environmental (e.g. Initially, the disease was thought to be transmitted through respiratory routes and . The disease featured in this movie?

Contagion worksheet provides questions for students to answer during the movie / film | when beth returns to minnesota from a hong kong trip, she attributes  contagion movie worksheet answers. It shows the index patient in hong kong .
With the approaching release of the movie contagion, i thought it would. Contagion Film Analysis Questions Pdf Infection Microbiology Source: imgv2-1-f.scribdassets.com

Do the fluid exchanges in total silence so as not to give the answer away. Watch movie "contagion" and answer the following questions. The disease featured in this movie?

Initially, the disease was thought to be transmitted through respiratory routes and . What Can We Learn About Coronavirus From The Movie Contagion Ask A Biologist Source: askabiologist.asu.edu

Assignment based on the infectious disease pandemic movie contagion. Insist that students explain the path of infection rather than just guess who . Why do you think this is/predict what you think happened on day 1?

Contagion worksheet provides questions for students to answer during the movie / film | when beth returns to minnesota from a hong kong trip, she attributes . Contagion Film Answer Key Docx Contagion Film Answer Key Who Is Patient Zero Beth Emhof Why Did Her Husband Not Get Infected He Was Immune What Was Course Hero Source: www.coursehero.com

It shows the index patient in hong kong . The medical advisors for the movie 'contagion' saw a pandemic. Viruses are the most common causative agent identified in foodborne outbreaks reported to the centers for disease control foodborne outbreak.

The disease featured in this movie? Film Contagion Esl Worksheet By Msilia Source: www.eslprintables.com

Infections, or it may be an emerging disease that we don't know . Do the fluid exchanges in total silence so as not to give the answer away. The first scene of the movie starts out on day 2.

Assignment based on the infectious disease pandemic movie contagion. Educators Outbreaks M That S Sick Source: www.thatssick.org

Insist that students explain the path of infection rather than just guess who . Why do you think this is/predict what you think happened on day 1? Answer the following questions and submit your .

With the approaching release of the movie contagion, i thought it would. Fact Checking Contagion The Movie About A Global Virus Outbreak Goats And Soda Npr Source: media.npr.org

Infections, or it may be an emerging disease that we don't know .

They can detect infectious diseases in patient and environmental (e.g. Contagion Worksheets Teaching Resources Teachers Pay Teachers Source: ecdn.teacherspayteachers.com

Why do you think this is/predict what you think happened on day 1?

It shows the index patient in hong kong . Analysis Of The Movie Contagion Homework Assignment Source: s1.studyres.com

The disease featured in this movie?

Answer the following questions and submit your . Contagion Questions Online Class Assignments Saleana Caraballo Contagion Movie Questions Studocu Source: d20ohkaloyme4g.cloudfront.net

The lesson is based on the movie contagion and describes a fictional.

Answer the following questions and submit your . Pdf Health Anxiety In A Disease Avoidance Framework Investigation Of Anxiety Disgust And Disease Perception In Response To Sickness Cues Source: i1.rgstatic.net

Answer the following questions and submit your .

By Admin at November 30, 2021

Tidak ada komentar:

Posting Komentar

Popular Posts

  • Graphs Of Derivatives Worksheet : Worksheet Functions Their Derivatives And Rates Of Change :
  • Ibn Khaldun Quotes : Geometry Enlightlens The Intellect And Sets One S Mind Right Picture Quotes -
  • Math Aids Counting Money : Math Grade 4 Qed -
  • B And D Reversal Worksheets - Letter Reversal Practice -
  • Double Homonyms Worksheet Answers / Homonyms Homophones Lesson Plans Worksheets Reviewed By Teachers -

Recent Posts

Arsip Blog

  • ►  2022 (7)
    • ►  Februari (6)
    • ►  Januari (1)
  • ▼  2021 (75)
    • ►  Desember (41)
    • ▼  November (34)
      • Crestron Tpmc 3X Guide - Crestron Com /
      • Maytag Lse7806Ace User S Guide : Maytag Ls7806 Use...
      • Colorblast 12 Tr Uv User Guide : Nanopdf Com /
      • Casio Px 310 User S Guide - Privia Digital Pianos ...
      • Casio Ex Tr60 Camera User Guide : Casio Exilim Bea...
      • Infectious Disease Movie Contagion Worksheet Answe...
      • Montessori Math Addition Worksheets : Montessori M...
      • Energy Through An Ecosystem Worksheet / Solved Ene...
      • Iready Data Chat Worksheet : Iready Data Chat Work...
      • Accept Except Worksheet : Quiz Worksheet Inventory...
      • Electromagnetic Radiation Worksheet Answers - Solv...
      • B And D Reversal Worksheets - Letter Reversal Prac...
      • King Crown Png White - 27 Crown Black And Wh Clipa...
      • Iris Flower Clipar Transparent Png / Png Clip Art ...
      • Ibn Khaldun Quotes : Geometry Enlightlens The Inte...
      • Перила Из Дерева Своими Руками / Kupit Derevyannye...
      • Дверь Гаража С Текстурой Дерева / Vorota 24 Fotoga...
      • Белые Скалы Перед Двором / Iturup Chast 3 Belye Sk...
      • Деревянное Покрытие Для Террасы - Kak Provesti Gid...
      • Деревянный Ящик Для Хранения С Ящиком : Derevyanny...
      • Education Kids Clipart Png / Free Png School Kids ...
      • Juice Cartoon Png / Kawaii Fruit Juice Cartoon Png...
      • Logo Channel Png : Chanel Logo Png Images Free Tra...
      • Legolas Cartoon Png - Thranduil Legolas The Lord O...
      • Computation In Context Math Worksheets - Printable...
      • Easy Activities For Preschoolers / 40 Super Easy T...
      • Year 1 Number Sequences / Number Sequences For Yea...
      • Hindi Alphabet Worksheets With Pictures / Hindi Al...
      • Emergent Literacy Activities For Preschoolers / 25...
      • Vertical Car Wallpaper : Download 1280x2120 Wallpa...
      • Sunset Wallpaper For Rooms - How To Choose Wallpap...
      • Spiderverse Falling Wallpaper : Spider Verse Wallp...
      • Solid Colors Wallpaper : Solid Color Background Wa...
      • Sleepy Hollow Movie Wallpaper - Sleepy Hollow Wall...

Follow by Email

Subsribe to get post update from this blog in your email inbox.

Copyright © Everinghamclipart09. All rights reserved. Template by Bootstrap